Я – специалист в сфере военно-врачебного права. За последнее десятилетие в моей юридической практике постоянно встречался вопрос о надобности характеристики для военкомата. Судя по моему опыту, примерно 90% молодых людей не осведомлены о таком документе и его значении. Из этой статьи вы узнаете, что такое характеристика в военкомат, и зачем она нужна.
Характеристика с учёбы в военкомат
Прежде всего скажу, что характеристику использует военный комиссариат для составления социально-психологического портрета призывника. То есть сотрудники военкомата смотрят на сферу деятельности и качества характера молодого человека. Вся полученная информация будет записана в личное дело юноши. Поэтому:
Характеристика для военкомата – это документ, содержащий в себе главную информацию о молодом человеке, которая может пригодиться для воинского учёта.
В большинстве своём характеристика нужна для постановки юноши на воинский учёт, которая происходит в год достижения 17 лет. При этом единого образца документа не существует. Нынешнее законодательство не предусматривает наличие формы для заполнения ни в приложениях к Федеральному Закону «О воинской обязанности и военной службе» (текст закона здесь), ни в статьях данного законодательного акта.
Поэтому мы с коллегами составили образец документа, куда внесли всю информацию, которую хочет узнать военкомат о юноше. Его я оставила ниже:

Такая анкета заполняется в учебном отделе или деканате, в зависимости от места учёбы юноши на момент постановки на учёт. Если будущий призывник учится в школе, то характеристику может заполнить классный руководитель. Если к этому времени уже поступил в колледж, то может обратиться к своему куратору курса или декану факультета.
Если молодой человек трудоустроен, то такой документ может заполнить его работодатель.
Далее в статье я расскажу о видах таких характеристик, а также покажу их образцы заполнения.
Виды характеристик в военкомат
Как я уже сказала, существует несколько причин для чего сотрудникам военкомата может потребоваться такая анкета. Конечно, в основном она используется для получения информации при первом взаимодействии юноши с военным комиссариатом. Как проходит такой процесс мы рассказали в отдельной статье: постановка на воинский учёт.
Но есть ещё две ситуации, когда она также может потребоваться.
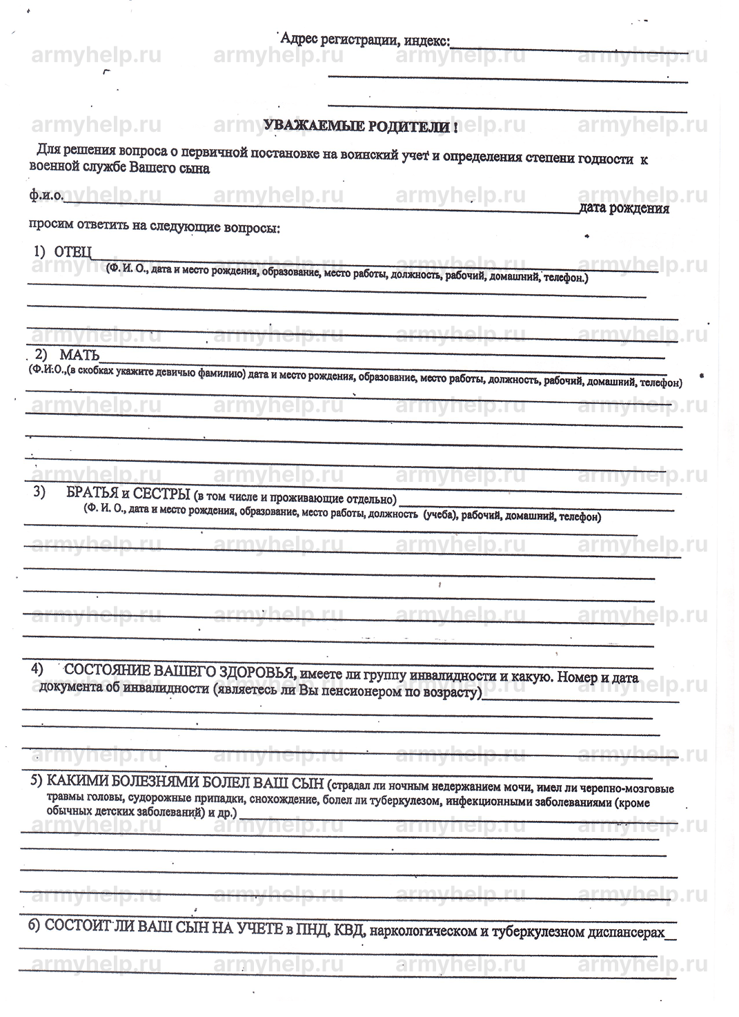
Например, если юноша несовершеннолетний, при постановке на воинский учёт его родители заполняют следующую анкету:

В ней содержатся вопросы, касающиеся здоровья будущего призывника, составе его семьи, его социальной характеристики и т. д. Далее сотрудники военкомата прикладывают такой документ к личному делу юноши.
Но, как юрист, скажу, что все вышеперечисленные анкеты относятся к молодым людям, которые с рождения имеют гражданство Российской Федерации.
Согласно 22 статье Федерального Закона «О воинской обязанности и военной службе», призыву на срочную службу подлежат граждане мужского пола в возрасте от 18 до 30 лет, не пребывающие в запасе.
В том случае, если юноша недавно получил подданство России, то он обязан встать на учёт. При этом ему также понадобится характеристика с места работы или учёбы. Если же он не трудоустроен и не получает образование на территории нашей страны, то можно запросить данный документ с Центра занятости населения. Но мой опыт показывает, что такие случаи очень редки.
Моя задача, как юриста компании, в этой ситуации – изучить ситуацию молодого человека и оказать необходимую помощь в вопросе постановки на воинский учёт. Для этого я приглашу юношу и его родителей к нам в офис для личной беседы. Подробнее об этой практике здесь: первая консультация.
В следующей главе я расскажу о ещё одной причине, по которой молодому человеку может потребоваться характеристика.
Характеристика для АГС
Альтернативная гражданская служба (АГС) – это вид общественно полезной деятельности, которая может служить заменой обычной срочной службе в армии.
По официальным данным, около 3-4 тысяч человек ежегодно подают заявления на АГС, но удовлетворительное решение получают далеко не все. Тем не менее самой главной частью всего процесса является сбор документов, в который и входит заполнение такой анкеты.
В этой главе я не буду уделять много внимания особенностям альтернативной гражданской службы, на нашем сайте уже есть публикация, в которой мы описали всю актуальную информацию: альтернативная гражданская служба.
Вместо этого я объясню, какие данные о призывнике понадобятся военкомату для АГС. Начну с самого важного: как и любые другие характеристики, анкета для АГС составляется по месту работы или учёбы.
Она должна подтверждать личность призывника, его моральные или религиозные убеждения, из-за которых он не может проходить военную службу, а также объективную оценку его рода деятельности. Как и во всех вышеперечисленных случаях, единого образца заполнения не существует.
Это означает, что работодатель или представитель администрации вуза может написать характеристику для молодого человека в свободной форме, но на фирменном бланке мероприятия. В конце должны стоять дата и подпись руководителя.
Самое главное в этом вопросе, чтобы документ отражал реальное отношение юноши к поставленным задачам. Например, показал ли он себя как ответственный сотрудник или студент, живущий академической жизнью. Участие в волонтёрских или церковных мероприятиях также стоит упомянуть в документе.
Любые вопросы, связанные с получением военного билета по здоровью, вы можете обсудить с нами во время первой консультации. Стоимость консультации или информацию об основных услугах вы можете уточнить, связавшись с нами в мессенджерах.
Итоги статьи
Характеристика в военкомат – это документ, который военкомат использует для составления социально-психологического портрета призывника.
Она необходима в первую очередь для постановки на воинский учёт в 17 лет, а также может потребоваться для оформления альтернативной гражданской службы (АГС) или если призывник недавно получил гражданство РФ. Единой утверждённой формы документа в законодательстве не существует.
Характеристика нужна для:
- Первичной постановки на воинский учёт;
- Подачи документов на АГС.
В зависимости от вида и назначения её могут заполнить классный руководитель, декан факультета, работодатель или родители призывника.
Для постановки на учёт характеристика подтверждает общую информацию о молодом человеке.
Для АГС этот документ имеет большее значение: он должен объективно отражать личность призывника и подтверждать его моральные или религиозные убеждения, из-за которых он не может проходить обычную военную службу.
